CMPS 260
Notes on Chapter 2 of Webber (Finite Automata)

Section 2.1 introduces the Farmer, Wolf, Goat, Cabbage, Rowboat problem and suggests that a solution could be found if we devise a state-transition diagram. Each state corresponds to one possible partitioning of the set {farmer, wolf, goat, cabbage} into two subsets that identify, respectively, the entities on the eastern and western, respectively, sides of the river. The transitions correspond to river crossings in which the farmer, possibly with one among the wolf, goat, and cabbage, uses the rowboat to go from one side of the river to the other.

The initial/start state is { East: {f,w,g,c}, West: ∅ }, describing the situation in which all four entities are on the eastern side of the river. The goal state is { East: ∅, West: {f,w,g,c} }, describing the situation in which all four entities are on the western side of the river. (For brevity, we are using 'f', 'w', 'g', and 'c', respectively, as shorthands for "farmer", "wolf", "goat", and "cabbage".)

The complete transition diagram (showing all relevant states, meaning those that are both reachable from the initial state and from which the goal state can be reached) is on Slide 7 of Webber's slideshow for Chapter 2. Any state in which the goat is alone with either the wolf or the cabbage —meaning without the farmer also being present— is omitted, because the goal state cannot be reached from it (the assumption being that either the goat or the cabbage will end up having been eaten).

In accord with the diagram, a sequence of river crossings (i.e., moves) is described by a string over the alphabet {f,w,g,c}. The symbol w describes a river crossing in which the farmer takes the wolf across the river. Similarly, g means goat and c means cabbage. (Webber uses n (for "nothing", I guess) rather than f as the symbol labeling a transition that represents the farmer crossing the river alone.) A solution to the problem is any such sequence that takes you from the start state to the goal state.

From the completed diagram, one can easily construct a minimal-length solution, or any other solution, for that matter. There are two minimal-length solutions, namely gfcgwfg and gfwgcfg.

Also, provided with a proposed solution, one can use the diagram to determine whether it really is a solution. All you have to do is to follow the proposed sequence of transitions and see whether it describes a path from the start state to the goal state.

Observe then that the state diagram defines a language over the alphabet {f,w,g,c}, namely the set of all strings that correspond to solutions.

In Section 2.2, the notion of an error state, more commonly referred to as a dead state, is introduced. For the problem under consideration, you can think of the dead state as representing all those situations in which the goat has been left alone in the presence of either the wolf or the cabbage, without the farmer also being there. No solution can describe a move sequence that passes through any such state.

In the state diagram in Slide 7, the error/dead state was omitted, but for purposes of completeness and unambiguity, it can be included. (See Slide 11.) By doing so, we get the property that for every state/symbol pair, there is a transition from that state labeled by that symbol. Thus, we obtain a deterministic state diagram.

Section 2.3 begins with an informal definition of deterministic finite automaton (DFA) (aka finite-state machine). Such a structure is composed of

By this definition a DFA is a state transition diagram (i.e., directed graph) in which exactly one state (i.e., vertex/node) is designated as the start/initial state, zero or more states are designated as accepting/final, and every state has exactly one outgoing transition for each member of the alphabet.

A DFA defines a language, namely the set of strings that describe transition sequences going from the start state to some accepting state. (A transition sequence is described by the string "spelled out" by the labels of the transitions in the sequence.) A string in that set is said to be accepted by the DFA; strings that are not accepted are said to be rejected.

As a very simple example, Slide 16 presents a DFA that accepts the language over {a,b} whose strings end in a. Using a set former, such a language is described by

{ xa  |  x ∈ {a,b}* }

Unlike transitions, states need not be labeled (i.e., named), but for the purpose of making it possible to refer to states easily, it is helpful to name them. For that matter, it is often helpful to give meaningful names to states (or to in some way to augment the diagram with descriptions as to what each state "means") in order to aid the reader's understanding of the DFA's underlying logic.

In the simple DFA on Slide 16, it is clear that the machine will be in the accepting state iff (i.e., if and only if) it has read/consumed at least one input symbol and the last such symbol is a. That the language accepted by this DFA is { xa  |  x ∈ {a,b}* } is thus readily apparent.

In these notes, we skip Section 2.4 (which covers how a DFA is described using algebraic notation) for the moment, and instead jump forward to Section 2.5, which introduces the notion of the language accepted by a DFA. The author describes such a language using the algebraic notation covered in Section 2.4, but equivalently we can say that

The language accepted by a DFA includes the string x iff, beginning at the initial state of the DFA and traversing the walk whose edge labels "spell out" x, you end in an accepting state.

This would be a good point to look at end-of-chapter exercises that follow Section 2.5.

DFA's are rather limited in what features of a string they can ascertain, but among their abilities is to

Thus, for example, you can design a DFA to accept a language such as

{ x ∈ {a,b}*  |  #a(x) is odd ∧ #b(x) is at least four }

which counts occurrences of a modulo 2 and occurrences of b with respect to a threshold of four. (For a character c and a string z, #c(z) is the number of occurrences of c within z.)

Exercise: Design such a DFA.


Section 2.4 explains how a DFA can be described in an algebraic style, as a 5-tuple M = (Q, Σ, δ, q0, F).

A third way to describe a DFA is in a tabular format. Thus, we have at least three formats that are commonly used to describe a DFA: as a state transition diagram, as a table, and in the 5-tuple algebraic form.

Slide 21 shows a transition diagram (for the ending-in-a language) and the corresponding algebraic description of it.

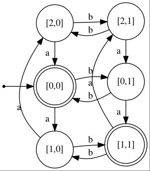
A good example DFA to examine is one that accepts the language

{ x ∈ {a,b}*  |  #a(x) (mod 3) = #b (mod 2) }

That DFA is shown below as both a state transition diagram and as a table:

Stateδ
Start?Accepting? State IDab
[0,0][1,0][0,1]
[1,0][2,0][1,1]
[2,0][0,0][2,1]
[0,1][1,1][0,0]
[1,1][2,1][1,0]
[2,1][0,1][2,0]

Assuming that we used M to name this DFA, its 5-tuple description would go something like this:

M = (Q, {0,1}, δ, [0,0], {[0,0], [1,1]}), where Q = {0,1,2}×{0,1} and δ is ...

A verbose description of δ is below left; on the right is a more concise version that exploits the fact that the states are named in a way that allows the transitions to be expressed in accord with the (modular) arithmetic that underlies the DFA's logic.

δ[0,0],a) = [1,0], δ[0,0],b) = [0,1],
δ[1,0],a) = [2,0], δ[1,0],b) = [1,1],
δ[2,0],a) = [0,0], δ[2,0],b) = [2,1],
δ[0,1],a) = [1,1], δ[0,1],b) = [0,0],
δ[1,1],a) = [2,1], δ[1,1],b) = [1,0],
δ[2,1],a) = [0,1], δ[2,1],b) = [2,0]
For all j ∈ {0,1,2} and k ∈ {0,1}:

δ([j,k],a) = [(j+1)%3, k] and
δ([j,k],b) = [j, (k+1)%2] (or [j,1-k])

Section 2.4 goes on to show how to formally define the language accepted by a DFA in terms of the 5-tuple algebraic description of a DFA.

To aid in that, we define an extended transition function δ* : Q × Σ* ⟶ Q. The intent is that, for a state p and a string x,

δ*(p,x) = q corresponds to the statement that, if we begin in state p and follow the sequence of transitions that "spell out" x, we will end in state q. The latter condition is more concisely represented by the notation p ⟶x q.

   δ*(p,aba)

=    < applying recursive case with x=ab, c=a >

   δ(δ*(p,ab), a)

=    < applying recursive case with x=a, c=b >

   δ(δ(δ*(p,a), b), a)

=    < applying recursive case with x=λ, c=a >

   δ(δ(δ(δ*(p,λ), a), b), a)

=    < applying base case >

   δ(δ(δ(p, a), b), a)

=    < applying δ(p,a) = q >

   δ(δ(q, b), a)

=    < applying δ(q,b) = r >

   δ(r, a)

=    < applying δ(r,a) = s >

   s

δ* can be defined in terms of δ recursively as follows:

δ*(p,λ)=p (base case)
δ*(p,xc)=δ(δ*(p,x),c) (recursive case)

Here, it is understood that x ∈ Σ* and c ∈ Σ

Suppose, for example, that in some DFA with states p, q, r, and s there is a path p ⟶aba s of transitions whose labels "spell out" aba like this:

p ⟶a q ⟶b r ⟶a s

Of course, this means that δ(p,a) = q, δ(q,b) = r, and δ(r,a) = s. Then δ*(p,aba) = s should hold. That it does is shown to the right.

Now, recall that, in terms of the state transition graph representing a DFA, the language L(M) accepted by a DFA M is

{ x ∈ Σ*  |  q0x s   for some s ∈ F}

Equivalently, in terms of the δ* function, that language is

{ x ∈ Σ*  |  δ*(q0, x) = s   for some s ∈ F}